개요
다이나믹셀 드라이브 (DYD)는 고 토크, 고효율, 경량화를 구현하면서 높은 내충격성을 갖는 사이클 로이드 기반의 소형 정밀 감속기입니다.

| 특징 | DYD | Starain Wave Gear | Planetary Gear |
|---|---|---|---|
| 효율 | ◎ | △ | ◎ |
| 증속 기동 토크(백드라이브) | ○ | △ | ◎ |
| 정밀도 (백래시) | ◎ | ◎ | △ |
| 내충격성 | ◎ | △ | ○ |
| 과부하 조건에서의 수명 | ◎ | △ | ○ |
- ◎: 최상
- ○: 우수
- △: 양호
점검
- 형번 및 형식이 주문한 제품과 일치하는지 확인해 주십시오
- 포장박스 내에 구성품이 전부 들어 있는지 확인해 주십시오
- 제품 표면 및 외형에 손상이 없는지 확인해 주십시오
![]()
주의
(상해나 제품 손상의 원인이 됩니다.)
- 제품의 분해 및 재조립을 하지 마십시오. 제품을 분해 및 재조립 하는 경우, 기존의 성능을 재현할 수 없습니다.
- 허용 피크 토크 (비상 정지) 이상의 부하를 가하지 않도록 주의하십시오.
- 제품을 떨어뜨리거나 강한 충격이 가해진 경우 사용하지 마십시오
- 제품 사용전 메뉴얼의 내용을 숙지하십시오. 정확히 조립하지 않고 운전하는 경우 진동, 수명저하, 파손등의 원인이 됩니다.
- 주위온도 -5~55도에서 사용하십시오.
- 물과 기름 또는 폭발성 가스의 영향을 받지 않는 곳에서 사용하십시오.
- 먼지, 칩등이 제품 내부로 들어가지 않도록 주의하십시오.
- 입/출력축에는 고신뢰성의 오일씰이 적용되어 있지만, 누유를 완전히 보장하지 않습니다. 용도에 따라 유분 방호처리를 해주시기 바랍니다.
- 출하시에 방청 처리를 하지만 보관 및 환경에 따라 일찍 녹이 스는 경우가 있으니 주의해 주십시오
- 일부 제품은 표면처리가 되어 있지만 방청을 보장하지는 않습니다.
- 본 제품은 조립상에서 윤활제가 봉입되어 있으며, 다른 윤활제를 혼입하여 사용하지 마십시오.
- 윤활제 처리방법은 법령으로 의무화 되어 있으며, 법령에 따라 적절하게 처리하시기 바랍니다.
![]()
경고
- 윤활제가 눈 또는 피부에 닿을 경우 염증을 일으킬 수 있으니 주의하시기 바랍니다,
- 윤활제가 눈에 들어간 경우, 깨끗한 물로 씻고 의사의 진단을 받으십시오
- 윤활제가 피부에 닿은 경우 물과 비누로 깨끗이 씻으십시오
보증 기간 및 범위
- 정상 조립 상태에서 사용하는 조건으로 구입후 1년 또는 운전시간 2,000시간 입니다.
- 보증기간 내에 제조상의 문제로 결함이 있는경우 수리 또는 교환해 드립니다.
- 고객의 부적절한 취급 또는 사용에 의한 경우
- 임의의 개조 또는 수리에 의한 경우
- 고장의 원인이 해당품 이외인 경우
- 기타 천재지변등으로 당사의 책임이 없는 경우
- 해당품의 고장으로 유발되는 다른 손해 및 장비에 설치에 관련되는 기타 비용 등은 당사의 부담에서 제외됩니다.
특징

- 고내구성
- 고신뢰성, 고강성
- 고정밀, 고토크
- 다양한 감속비
- 소형, 경량 모듈
감속비와 회전 방향
감속기 입력부의 회전 방향에 따른 출력부 회전방향은 감속기의 고정 위치에 따라 달라집니다.
- 하우징 고정, 출력부 회전 : 출력부의 회전 방향은 입력과 반대, 속도는 1/R
- 출력부 고정, 하우징 회전 : 하우징의 회전 방향은 입력과 동일, 속도는 1/(R+1)
| 고정 방향 | 출력 속도 | 입력 방향 | 출력 방향 | 예시 |
|---|---|---|---|---|
| 하우징 (Housing) |
i=(-1)1/R | Cathode (+) | Anode (-) | ![]() |
| 출력부 (Output flange) |
i=1/(R+1) | Cathode (+) | Cathode (+) | ![]() |
제품 라인업
| DYD-11 | DYD-14 | DYD-17 |
|---|---|---|
![]() |
![]() |
![]() |
![]() |
![]() |
![]() |
세부사양
| 속성 | 단위 | DYD-11-033 | DYD-11-051 | DYD-14-051 | DYD-14-099 | DYD-17-051 | DYD-17-099 |
|---|---|---|---|---|---|---|---|
| 감속비 | - | 33 | 51 | 51 | 99 | 51 | 99 |
| 정격 토크 | Nm | 2.2 | 3.5 | 3.7 | 5.4 | 11 | 16 |
| 허용 피크 토크 (가속/감속) | Nm | 8.8 | 14 | 14.8 | 21.6 | 44 | 64 |
| 허용 피크 토크 (비상 정지) | Nm | 28 | 28 | 43.2 | 43.2 | 96 | 96 |
| 정격 입력 속도 | rpm | 2,000 | 2,000 | 2,000 | 2,000 | 2,000 | 2000 |
| 최대 입력 속도 | rpm | 8,500 | 8,500 | 8,500 | 8,500 | 8,500 | 8500 |
| 백래시 | arcmin | <3.0 | <3.0 | <3.0 | <3.0 | <3.0 | <3.0 |
| 효율 | % | 65 | 65 | 60 | 60 | 70 | 70 |
| 기동 토크 | cNm | 5 | 3 | 5 | 3 | 4 | 3 |
| 증속 기동 토크 (백드라이브) | Nm | 1 | 1 | 3 | 3 | 5 | 5 |
| 크기 | mm | □43 × 23.5 | □43 × 23.5 | ∅68 × 30 | ∅68 × 30 | ∅78 × 34.2 | ∅78 × 34.2 |
| 무게 | g | 196 | 196 | 400 | 400 | 600 | 600 |
- 최대 입력 속도: 8,500 rpm
- 정격 입력 속도: 2,000 rpm
- 수명: 7,000 hours
품번

| 제품명 | 크기 | 감속비 | 옵션 | 특주 사양 |
|---|---|---|---|---|
| DYD | 11 | 33, 51 | C SD |
SP |
| DYD | 14 | 51, 99 | C SD |
SP |
| DYD | 17 | 51, 99 | C SD |
SP |
| 옵션 | C | SD |
|---|---|---|
| 형태 | ![]() |
![]() |
| 명칭 | 클램프 링 | 세트 스크류 (D-컷) |
기술 자료
정격 토크
정격 토크는 정격 입력 속도에서 허용되는 연속 부하 토크를 나타냅니다.
허용 피크 토크 (가속/감속)
가속 또는 감속 시 기어에 가해지는 토크를 나타내며, 평균 출력 토크를 계산할 때 사용합니다. 동작 사이클 을 참조하시기 바랍니다.
허용 피크 토크 (비상 정지)
충돌 또는 비상 정지 시 기어에 가해지는 순간 피크 토크를 나타냅니다.

정격 입력 속도
정격 입력 속도는 평균 작동 사이클 속도의 한계를 나타냅니다.
관성 모멘트
관성 모멘트는 입력 회전축을 기준으로 한 질량 관성모멘트를 나타냅니다.
백래시
백래시는 입력부가 고정된 상태에서 출력부에 토크를 정격 토크만큼 서서히 증가하였다가 제거하였을 때, 회전 변형량이 ‘0’으로 완전히 돌아오지 않고 일정량의 손실이 발생합니다.
이때 발생한 손실을 아래 그래프와 같이나타내며 기어 사이의 공차를 포함하고 있습니다.

효율
감속기의 효율은 적용 부하, 입력 속도, 윤활 조건(온도), 사이즈 등 다양한 조건에 따라 달라집니다.
각 모델별 효율 특성은 제품들의 시험 결과를 기반으로 작성되었으며, 모델별 상세 데이터를 참조바랍니다.
기동 토크
기동 토크는 출력 축 무부하 시, 입력 축의 회전을 시작하는 데 필요한 준 정적 토크입니다 (동적 마찰).
증속 기동 토크 (백드라이브)
증속 기동 토크 (백드라이브)는 무부하 시 입력 축을 회전시키기위해 출력 축에 인가하는 토크입니다
제품 선택 가이드
서보 시스템을 구성함에 있어, 일정한 부하가 연속적으로 작용하는 경우는 거의 없습니다.
가/감속 시 속도와 토크가 변화하고, 기동·정지 시 큰 토크가 발생하기도 합니다.
또한 비상 시 예기치 못한 큰 토크가 발생하기 때문에 적절한 제품 선정을 위해 다양한 부하 조건과 속도를 고려하여 평균적인 부하와 속도를 환산하여 적용해야 합니다.
제품 선택 순서도

동작 사이클
그림과 같이 다양한 동작 사이클에 포함된 부하 및 속도를 활용하여 사용수명을 결정 할 수 있습니다.

| 기호 | 설명 | 기호 | 설명 |
|---|---|---|---|
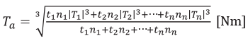
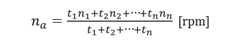
| Ta | 평균 부하 토크 [Nm] | na | 평균 입력 속도[rpm] |
| T1 | 가속 시 최대 출력 토크[Nm] | n1 | 가속 시 평균 입력 속도[rpm] |
| T2 | 정상 운전 시 출력 토크[Nm] | n2 | 정상 운전 시 입력 속도[rpm] |
| T3 | 감속 시 최대 출력 토크[Nm] | n3 | 감속 시 평균 입력 속도[rpm] |
| t1 | 가속 시간[s] | ||
| t2 | 정상 운전 시간[s] | ||
| t3 | 감속 시간[s] | ||
| t4 | 정지 시간[s] | ||
| t | 동작 시간[s] |
평균 부하 토크
아래와 같은 수식으로 평균 부하 토크를 계산 할 수 있습니다.


평균 입력 속도
아래와 같은 수식으로 평균 입력 속도를 계산 할 수 있습니다.


수명
DYD의 정격 수명은 입력 축 베어링의 수명과 베어링 재질의 피로 파손에 의해 결정되며, 정격 수명에 영향을 미치는 윤활 및 과부하 등은 고려되지 않았습니다.
정격 수명은 시험 결과를 기반으로 결정되었고, 설계 수명은 다음과 같이 계산할 수 있습니다.

| 기호 | 설명 |
|---|---|
| Lh design | 설계 수명[hour] |
| Lh calculated | 예상 수명[hour] |
| LR | 기준 수명[hour] |
| nR | 정격 입력 속도[rpm] |
| na | 평균 입력 속도[rpm] |
| TR | 정격 토크[Nm] |
| Ta | 평균 부하 토크[Nm] |
출력 부하에 따른 수명
감속기의 수명은 출력 부하, 입력 속도, 효율성, 온도, 크기 및 동작 사이클의 동작 조건에 따라 달라집니다.

수명: DYD-11 | 시험 조건 : 입력 속도 2,000rpm, 시험 환경 : 온도 22 ºC, 습도 55%

수명: DYD-14 | 시험 조건 : 입력 속도 2,000rpm, 시험 환경 : 온도 22 ºC, 습도 55%

수명: DYD-17 | 시험 조건 : 입력 속도 2,000rpm, 시험 환경 : 온도 22 ºC, 습도 55%
제품 선택 예시
동작 사이클 정의
| 기호 | 의미 | 수치 | 비고 |
|---|---|---|---|
| T1 | 가속 시 최대 출력 토크 | 7.5 Nm | |
| T2 | 정상 운전 시 출력 토크 | 5 Nm | |
| T3 | 감속 시 최대 출력 토크 | 2.5 Nm | |
| n1 | 가속 시 평균 입력 속도 | 1,500 rpm | |
| n2 | 정상 운전 시 입력 속도 | 3,000 rpm | |
| n3 | 감속 시 평균 입력 속도 | 1,500 rpm | |
| t1 | 가속 시간 | 1 s | |
| t2 | 정상 운전 시간 | 5 s | |
| t3 | 감속 시간 | 1 s | |
| t4 | 정지 시간 | 0 s | |
| Lh design | 설계 수명 | 6,500 hour |
평균 부하 토크 계산
| 기호 | 의미 | 수치 | 비고 |
|---|---|---|---|
| Ta | 평균 부하 토크 | 4.72 Nm | cal. |
평균 입력 속도 계산
| 기호 | 의미 | 수치 | 비고 |
|---|---|---|---|
| na | 평균 입력 속도 | 2,571.43 rpm | cal. |
사전 형번 선정: DYD-14-051
| 속성 | 단위 | DYD-14-051 |
|---|---|---|
| 감속비 | - | 51 |
| 정격 토크 (@2,000rpm) | Nm | 3.7 |
| 허용 피크 토크 (가속/감속) | Nm | 14.8 |
| 허용 피크 토크 (비상 정지) | Nm | 43.2 |
| 정격 입력 속도 | rpm | 2,000 |
| 최대 입력 속도 | rpm | 8,500 |
| 백래시 | arcmin | <3.0 |
| 효율 | % | 60 |
| 크기 | mm | Ø68 × 30 |
| 무게 | g | 400 |
예상 수명 계산: DYD-14-051
| 기호 | 의미 | 수치 | 비고 |
|---|---|---|---|
| Lh calculated | 예상 수명 | 6,027 hour | cal. |
| Lh design | 설계 수명 | 6,500 hour | |
| nR | 정격 입력 속도 | 2,000 rpm | 데이터시트 참고 |
| na | 평균 입력 속도 | 2,142 rpm | |
| TR | 정격 토크 | 3.7 Nm | 데이터시트 참고 |
| Ta | 평균 출력 토크 | 4.72 Nm |
실제 수명과 비교: DYD-14-051
설계 수명 : 6,500 hour > 예상 수명 : 6,027 hour
사전 형번 선정: DYD-14-099
| 속성 | 단위 | DYD-14-099 |
|---|---|---|
| 감속비 | - | 99 |
| 정격 토크 (@2,000rpm) | Nm | 5.4 |
| 허용 피크 토크 (가속/감속) | Nm | 21.6 |
| 허용 피크 토크 (비상 정지) | Nm | 43.2 |
| 정격 입력 속도 | rpm | 2,000 |
| 최대 입력 속도 | rpm | 8,500 |
| 백래시 | arcmin | <3.0 |
| 효율 | % | 60 |
| 크기 | mm | ∅68 × 30 |
| 무게 | g | 400 |
예상 수명 계산: DYD-14-099
| 기호 | 의미 | 수치 | 비고 |
|---|---|---|---|
| Lh calculated | 예상 수명 | 6,837 hour | cal. |
| Lh design | 설계 수명 | 6,500 hour | |
| nR | 정격 입력 속도 | 2,000 rpm | 데이터시트 참고 |
| na | 평균 입력 속도 | 2,142 rpm | |
| TR | 정격 토크 | 5.4 Nm | 데이터시트 참고 |
| Ta | 평균 출력 토크 | 4.72 Nm |
설계 수명과 비교: DYD-14-099
설계 수명 : 6,500 hour < 예상 수명 : 6,837 hour
입력 축 옵션 선택
입력축 타입은 C, SD 2가지 형태를 선택할 수 있습니다.
| 옵션 | Type - C | Type - SD |
|---|---|---|
| 형태 | ![]() |
![]() |
| 명칭 | 클램프 링 | Set-screw (D-컷) |
활용 예시












